Удельное сцепление песка – Методические рекомендации «Методические рекомендации по сбору инженерно-геологической информации и использованию табличных геотехнических данных при проектировании земляного полотна автомобильных дорог»
1.5. Прочность грунтов
Сопротивление грунта срезу характеризуется касательными напряжениями в предельном состоянии, когда наступает разрушение грунта [4]. Соотношение между предельными касательными τ и нормальными к площадкам сдвига σ напряжениями выражается условием прочности Кулона-Мора
Цытович И.А. Механика грунтов
τ = σ tgφ + c,
(1.5)где φ — угол внутреннего трения; с — удельное сцепление.
Характеристики прочности φ и с определяют в лабораторных и полевых условиях. Для предварительных, а также окончательных расчетов оснований зданий и сооружений II и III класса допускается принимать значения φ и с по табл. 1.17 и 1.18.
ТАБЛИЦА 1.17. НОРМАТИВНЫЕ ЗНАЧЕНИЯ УДЕЛЬНЫХ СЦЕПЛЕНИИ c, кПа, И УГЛОВ ВНУТРЕННЕГО ТРЕНИЯ φ, град, ПЕСЧАНЫХ ГРУНТОВ
| Песок | Характеристика | Значения с и φ при коэффициенте пористости e | |||
| 0,55 | 0,65 | 0,75 | |||
| Гравелистый и крупный | с φ | 2 43 | 1 40 | 0 38 | – – |
| Средней крупности | с φ | 3 40 | 2 38 | 1 35 | – – |
| Мелкий | с φ | 6 38 | 4 36 | 2 32 | 0 28 |
| Пылеватый | с φ | 8 36 | 6 34 | 4 30 | 2 26 |
Примечание. Приведенные в таблице значения относятся к кварцевым пескам (см. табл. 1.12).
ТАБЛИЦА 1.18. НОРМАТИВНЫЕ ЗНАЧЕНИЯ УДЕЛЬНЫХ СЦЕПЛЕНИЯ c, кПа, И УГЛОВ ВНУТРЕННЕГО ТРЕНИЯ φ, град, ПЫЛЕВАТО-ГЛИНИСТЫХ ГРУНТОВ ЧЕТВЕРТИЧНЫХ ОТЛОЖЕНИЙ
| Грунт | Показатель текучести | Характеристика | Значения с и φ при коэффициенте пористости е | ||||||
| 0,45 | 0,55 | 0,65 | 0,75 | 0,85 | 0,95 | 1,05 | |||
| Супесь | 0 < IL ≤ 0,25 | с φ | 21 30 | 17 29 | 15 27 | 13 24 | – – | – – | – – |
| 0,25 < IL ≤ 0,75 | с φ | 19 28 | 15 26 | 13 24 | 11 21 | 9 18 | – – | – – | |
| Суглинок | 0 < IL ≤ 0,25 | с φ | 47 26 | 37 25 | 31 24 | 25 23 | 22 22 | 19 20 | – – |
| 0,25 < IL ≤ 0,5 | с φ | 39 24 | 34 23 | 28 22 | 23 21 | 18 | 15 17 | – – | |
| 0,5 < IL ≤ 0,75 | с φ | – – | – – | 25 19 | 20 18 | 16 16 | 14 14 | 12 12 | |
| Глина | 0 < IL ≤ 0,25 | с φ | – – | 81 21 | 68 20 | 54 19 | 47 18 | 41 16 | 36 14 |
| 0,25 < IL ≤ 0,5 | с φ | – – | – – | 57 18 | 50 17 | 43 16 | 37 14 | 32 11 | |
| 0,5 < IL ≤ 0,75 | с φ | – – | – – | 45 15 | 41 14 | 36 12 | 33 10 | 29 7 | |
Примечание. Значения с и φ не распространяются на лёссовые грунты.
1.5.1. Определение прочностных характеристик в лабораторных условиях
В практике исследований грунтов применяют метод среза грунта по фиксированной плоскости в приборах одноплоскостного среза. Для получения φ и с необходимо провести срез не менее трех образцов грунта при различных значениях вертикальной нагрузки. По полученным в опытах значениям сопротивления срезу τ строят график линейной зависимости τ = f(σ) и находят угол внутреннего трения φ и удельное сцепление с (рис. 1.5).
Рис. 1.5. Зависимость сопротивления срезу грунта τ от нормального напряжения σ
Различают две основные схемы опыта: медленный срез предварительно уплотненного до полной консолидации образца грунта (консолидировано-дренированное испытание) и быстрый срез без предварительного уплотнения (неконсолидировано-недренированное испытание).
Значения φ и с, полученные по методике медленного консолидированного среза, используются для определения расчетного сопротивления грунта, а также для оценки несущей способности основания, находящегося в стабилизированном состоянии (все напряжения от внешней нагрузки восприняты скелетом грунта). Значения φ и
Метод определения характеристик прочности φ и с в условиях трехосного сжатия в большей степени соответствует напряженному состоянию грунта в основании сооружения. Испытание проводится на приборе, в котором образец грунта подвергается всестороннему гидростатическому давлению и добавочному вертикальному (осевому). Для определения прочностных характеристик грунтов проводят серию испытаний при различных соотношениях давлений, доводя образец до разрушения, в результате каждого опыта получают значения наибольшего σ 1 и наименьшего σ3 главных нормальных напряжений в момент разрушения. Графически зависимость между главными касательными и нормальными напряжениями представляют с помощью кругов Мора, каждый из которых строится на разности напряжений σ1 и σ3(рис. 1.6).
Рис. 1.6. Круги Мора по результатам испытания грунта в приборе трехосного сжатия
Общая касательная к этим кругам удовлетворяет условию прочности (1.5) и позволяет определить характеристики φ и с.
В приборах трехосного сжатия проводят следующие испытания:
- – недренированное — дренирование воды из образца грунта отсутствует в течение всего опыта;
- – консолидировано-недренированное — дренирование обеспечивается в процессе приложения гидростатического давления и образец полностью уплотняется, в процессе приложения осевых нагрузок дренирование отсутствует;
- – дренированное — дренирование обеспечивается в течение всего испытания.
Недренированные испытания водонасыщенных грунтов проводят для определения прочностных характеристик, выражаемых через общие (тотальные) напряжения. Дренированные испытания проводят для определения прочностных характеристик, выражаемых через эффективные напряжения. При этом в процессе опыта должно быть достигнуто полностью консолидированное состояние грунта. Прочностные характеристики грунтов, выражаемые через эффективные напряжения, могут быть определены также для образцов грунта, испытанных в неполностью консолидированном состоянии, при условии измерения в процессе опыта давления в поровой воде.
Количественной характеристикой прочности скальных грунтов является предел прочности на одноосное сжатие Rc, определяемый раздавливанием образца грунта и вычисляемый по формуле
Rс = P/F,
(1.6)где Р — нагрузка в момент разрушения образца грунта; F — площадь поперечного сечения образца грунта.
1.5.2. Определение прочностных характеристик в полевых условиях
Полевое испытание на срез в заданной плоскости целика грунта, заключенного в кольцевую обойму, аналогично лабораторному испытанию на срез в одноплоскостных срезных приборах. Испытания проводятся в шурфах, котлованах, штреках и т.д. Для получения характеристик φ и с определяют сопротивление срезу не менее чем трех целиков при различных вертикальных нагрузках. Схемы испытаний принимаются те же, что и в лабораторных условиях. Значения φ и с находят на основе построения зависимости (1.5), как это показано на рис. 1.5.
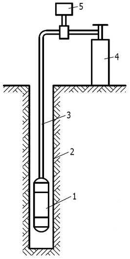
Полевое определение характеристик φ и с в стенах буровой скважины проводится методами кольцевого и поступательного среза. Схемы испытаний приведены на рис. 1.7. Эти методы применяются для испытаний грунтов на глубинах до 10 м (кольцевой срез) и до 20 м (поступательный срез). В методе кольцевого среза используется распорный штамп с продольными лопастями, в методе поступательного среза — с поперечными лопастями. С помощью распорного штампа лопасти вдавливаются в стенки скважины и создастся нормальное давление на стенки. В методе кольцевого среза грунт срезается вследствие приложения крутящего момента, а в методе поступательного среза — выдергивающей силы. Для получения φ и
Рис. 1.7. Схемы испытаний грунта в скважинах на срез
а — кольцевой; б — поступательный; в — вращательный крыльчаткой: 1 — лопасти; 2 — распорные штампы; 3 — скважины; 4 — штанги; 5 — устройства для создания и измерения усилия
Метод вращательного среза с помощью крыльчатки, вдавливаемой в массив грунта или в забой буровой скважины (см. рис. 1.7), позволяет определить сопротивление срезу τ, поэтому его рекомендуется применять при слабых пылевато-глинистых грунтах, илах, сапропелях, заторфованных грунтах и торфах, так как для них угол внутреннего трения практически равен нулю и можно принять с = τ. Испытания крыльчаткой проводят на глубинах до 20 м.
Для определения характеристик прочности в полевых условиях применяют методы выпирания и обрушения грунта в горных выработках. Значения φ и с вычисляют из условий предельного равновесия выпираемого и обрушаемого массива грунта.
Угол внутреннего трения песчаных грунтов может быть определен с помощью статического и динамического зондирования. По данным статического зондирования угол φ имеет следующие значения:
| qc, МПа | 1 | 2 | 4 | 7 | 12 | 20 | 30 |
| φ, град | 26 | 28 | 30 | 32 | 34 | 36 | 38 |
Значения φ по данным динамического зондирования приведены в табл. 1.19. Для сооружений I и II класса является обязательным сопоставление данных зондирования с результатами испытаний тех же грунтов на срез. Для сооружений III класса допускается определять φ только по результатам зондирования.
ТАБЛИЦА 1.19. ЗНАЧЕНИЯ УГЛОВ ВНУТРЕННЕГО ТРЕНИЯ φ ПЕСЧАНЫХ ГРУНТОВ ПО ДАННЫМ ДИНАМИЧЕСКОГО ЗОНДИРОВАНИЯ
| Песок | Значения φ, град, МПа при qd, МПа | |||||
| 2 | 3,5 | 7 | 11 | 14 | 17,5 | |
| Крупный и средней крупности | 30 | 33 | 33 | 38 | 40 | 41 |
| Мелкий | 28 | 30 | 33 | 35 | 37 | 38 |
| Пылеватый | 28 | 28 | 30 | 32 | 34 | 35 |
xn--h1aleim.xn--p1ai
Методические рекомендации «Методические рекомендации по сбору инженерно-геологической информации и использованию табличных геотехнических данных при проектировании земляного полотна автомобильных дорог»
СССР
МИНИСТЕРСТВО ТРАНСПОРТНОГО СТРОИТЕЛЬСТВА
ГЛАВТРАНСПРОЕКТ
СОЮЗДОРПРОЕКТ
МЕТОДИЧЕСКИЕ РЕКОМЕНДАЦИИ
по сбору
инженерно-геологической информации
и использованию табличных геотехнических
данных при проектировании земляного полотна
автомобильных дорог
Москва, 1981 г.
СОДЕРЖАНИЕ
В Методических рекомендациях приведены краткие указания по получению исходной инженерно-геологической информации, необходимой для проектирования земляного полотна автомобильных дорог.
Приведенные в «Рекомендациях» табличные дачные могут быть использованы для ориентировочных расчетов при предварительной оценке устойчивости земляного полотна.
Рекомендации составлены главным специалистом дорожного отдела ГПИ «Союздорпроект» к.т.н. Браславским В.Д. и главным специалистом технического отдела Смирновым В.С.
Замечания, возникшие при пользовании работой, просим направлять по адресу: Москва, Ж-89, наб. Мориса Тореза, д. 34, Союздорпроект.
|
Начальник технического отдела ГПИ «Союздорпроект» |
К.М. Ротштейн |
Для проектирования земляного полотна автомобильной дороги надо знать:
1. Климатическую дорожную зону;
2. Расчетную высоту снегового покрова;
3. Тип местности по характеру увлажнения;
4. Состав и свойства грунтов:
а) основания земляного полотна,
б) откосов выемок,
в) резервов;
5. Расчетный уровень грунтовых вод;
6. Крутизну естественных склонов и устойчивых искусственных откосов.
Климатическую зону и тип местности по характеру увлажнения устанавливают по СН-449-72 («Указания по проектированию земляного полотна железных и автомобильных дорог») в соответствии с данными полевых изыскательских работ.
Прочие данные выдаются геологам на основании обработки материалов инженерно-геологических изысканий, которые выполняются в соответствии с «Методическими указаниями по инженерно-геологическим изысканиям автомобильных дорог» (Союздорпроект, 1979 г.).
При этом необходимо учитывать следующее:
проектирование земляного полотна в соответствии с СНиП II-Д.5-72 может быть двух видов:
а) использование решений по типовым проектам – при благоприятных инженерно-геологических условиях, высоте насыпей и глубине выемок менее 12-ти метров;
б) индивидуальное проектирование – во всех других случаях.
Наиболее широко применяется проектирование по типовым проектам, поскольку трассирование автомобильных дорог предусматривает их проложение по возможно более прочным грунтам с минимальным объемом земляных работ. При подобном проектировании нет необходимости в выполнении расчетов, определяющих параметры земляного полотна и обосновывающие специальные мероприятия по обеспечению его устойчивости, поэтому целью отбора образцов является получение таких характеристик грунтов, которых было бы достаточно:
а) для отнесения грунтов к тому или иному виду в соответствии с действующими нормативными документами;
б) для суждения о естественной и оптимальной влажности и плотности грунтов, применяемых для возведения насыпей и слагающих дно выемок.
Для решения первой задачи достаточно знать гранулометрический состав грунта и число пластичности, для решения второй задачи, кроме этого, нужны данные о естественной и оптимальной влажности и плотности.
Кроме этого для песчаных грунтов определяют коэффициент фильтрации, необходимый для суждения об их дренирующих свойствах.
Особое внимание должно уделяться местам индивидуального проектирования земляного полотна.
Индивидуальное проектирование земляного полотна осуществляется для насыпей и выемок, высота и глубина которых превышает 12 метров, а также в тех случаях, когда устойчивость земляного полотна вызывает сомнение из-за неблагоприятных инженерно-геологических условий (например – слабые основания насыпей, мокрые выемки, оползневые склоны и др.).
При этом решается задача обеспечения устойчивости:
а) основания земляного полотна;
б) откосов насыпей;
в) откосов выемок;
г) естественных склонов.
Для решения этих задач кроме показателей состава и состояния грунтов, нужно иметь данные о сопротивлении грунтов сдвигу, а для расчета устойчивости основания кроме этого компрессионные и консолидационные характеристики.
При предварительных (предпроектных) проработках в случае отсутствия или недостаточного количества лабораторных данных для получения характеристик физических свойств глинистых и песчаных грунтов могут быть использованы данные, помещенные в таблицах 1-7.
В таблице 1 приведена математическая зависимость между физическими свойствами грунтов, которая может быть использована для получения недостающих при расчете данных по величине объемного и удельного веса, пористости и влажности.
Значения удельного веса наиболее распространенных грунтов могут быть взяты также из таблицы 2.
Нужная для подсчета осадки величины модуля деформации для обычных грунтов может быть получена из таблиц 3 и 4, где она дана в зависимости от коэффициента пористости песчаных грунтов, коэффициента пористости и показателя консистенции глинистых грунтов.
files.stroyinf.ru
1.2 Основные физико-механические свойства карьерных и намывных грунтов
Эффективность намыва и качество возводимых намывных сооружений в наибольшей степени зависят от характеристик грунта.
В гидромеханизированном процессе намыва необходимо рассматривать технологически взаимосвязанный комплекс работ:
- подводная разработка грунта;
- гидротранспортировка грунта;
- намыв и укладка грунта в сооружения или отвалы.
В зависимости от вида технологического процесса необходимо рассматривать соответственно и физико-механические свойства грунтов (табл. 1.1) [54].
Таблица 1.1
Физико-механические свойства грунтов
| Технологический процесс | Свойства грунтов, влияющие на технологический процесс |
|---|---|
| 1.Подводная разработка грунта | · гранулометрический состав; · плотность; · удельное сцепление; · угол внутреннего трения; · пластичность; · прилипаемость; · форма частиц; · окатанность; · засоренность инородными телами (корнями растений, валунами и т.д.) |
| 2. Гидротранспортировка грунта | · гранулометрический состав; · плотность; · гидравлическая крупность; · форма частиц; · окатанность; · измельчаемость при гидравлическом транспортировании; · абразивность |
| 3. Намыв грунтовых сооружений и укладка грунта | · гранулометрический состав; · плотность; · водоотдача; · водоудерживающая способность; · гидравлическая крупность; · водопроницаемость; · угол внутреннего трения; · удельное сцепление; · угол откоса при намыве; · набухание |
Под гранулометрическим составом грунта понимается процентное содержание по массе частиц грунта различной крупности — фракционности.
Фракция грунта — это группа частиц (зерен) грунта, близких по размерам и свойствам.
Наиболее распространена классификация грунтов по гранулометрическому составу, в которой учитываются следующие четыре основные фракции, входящие в состав большинства разрабатываемых грунтов (табл. 1.2).
Таблица 1.2
Фракции грунта
| Фракции | Размеры частиц, мм |
|---|---|
| Гравийная | крупнее 2 |
| Песчаная | от 2 до 0,05 |
| Пылевая | от 0,05 до 0,005 |
| Глинистая | менее 0,005 |
Размеры выделяемых фракций зависят от состава и назначения грунта.
При определении гранулометрического состава грунтов, используемых для намыва земляных сооружений, учитываются следующие фракции (табл. 1.3) [55].
Таблица 1.3
Фракции грунта, учитывающиеся при определении гранулометрического состава грунтов для намыва земляных сооружений
| Грунт | Фракции, мм |
|---|---|
| Глинистые частицы | Менее 0,005 |
| Пыль: – мелкая – крупная | 0,005–0,01 0,01–0,05 |
| Песчаные частицы: – тонкие (пылеватые) – мелкие – средней крупности – крупные | 0,05–0,1 0,1–0,25 0,25–0,5 0,5–1; 1–2 |
| Гравийные зерна – мелкие – средние – крупные | 2–5 5–10 10–20 |
| Галька: – мелкая – средняя – крупная – очень крупная | 20–40 40–60 60–80; 80–100 100–150; 150–200 |
Гранулометрический состав грунта определяют путем анализа каждой из проб грунта.
Средневзвешенный размер (диаметр) частиц грунта dср по отдельной скважине или по всему карьерному полю определяют:
dср= (d1B1 + d2B2 +…+ dnBn)/100,
где d1, d2, … dn — среднеарифметическое значение диаметра частиц грунта по фракциям, мм; В1, В2, … Вn — средневзвешенное содержание фракций грунта, %.
Плотность грунта ρ представляет собой отношение массы грунта к занимаемому объему, г/см3, кг/м3, т/м3 (табл. 1.4).
Плотность грунта непостоянна и зависит от условий естественного залегания (влажность, количество воды в порах и т. д.), так как включает отношение общей массы грунта mгр, включая массу воды в его порах, в естественном состоянии к занимаемому этим грунтом объему Vгр
ρ = mгр/Vгр.
Плотность сухого грунта ρ — это отношение массы сухого грунта mтв (исключая массу воды в порах) к занимаемому этим грунтом объему Vгр (включая имеющиеся в этом грунте поры), или масса твердой части грунта в единице его объема ненарушенной структуры:
ρd = mтв/Vгр; ρd = ρ/(1+0,01W),
где W — природная влажность грунта, %.
Плотность частиц грунта ρS (табл. 1.5) — это отношение массы сухого грунта mтв (исключая массу воды в его порах) к объему твердой части этого грунта Vтв
ρS = mтв/Vтв.
Таблица 1.4
Среднее значение плотности грунтов в естественном состоянии
| Грунт | Плотность ρ, кг/м3 |
|---|---|
| Грунт растительного слоя | 800–1200 |
| Торф | 800–1200 |
| Чернозем | 1200–1300 |
| Ил речной | 1800 |
| Песок: мокрый сухой без примесей с примесью частиц гальки, гравия до 10% то же, более 10% бархатистый и дюнный | 1950 1600 1650 1700 1600 |
| Гравий сухой | 1800 |
| Гравий мокрый | 2000 |
| Галечно-гравийно-песчаные грунты при размере частиц, мм: до 80 свыше 80 свыше 80 с содержанием валунов до 10% то же, до 30% то же, до 70% | 1750 1950 1950 2000 2300 |
| Валунный грунт (содержание частиц крупнее 200 мм более 50%) | 2500 |
| Щебень при размере частиц, мм: до 40 до 150 | 1750 1950 |
| Пески, супески и суглинки при пористости: более 0,5% и содержании частиц крупнее 2 мм до 10% до 0,5% глины при влажности более 0,5% и содержании частиц крупнее 2 мм до 10% | 1600 1800 |
| Глины при влажности до 0,5% и содержании частиц крупнее 2 мм до 10% | 1850 |
| Пески, супеси, суглинки и глины при: влажности и пористости до 0,5% и содержании частиц крупнее 2 мм: до 35%, до 65%, более 65% пористости до 0,5% и содержании частиц крупнее 2 мм: до 35%, до 65%, более 65% | 1800, 1900, 1950
2000, 2100, 2300 |
| Супесь: пластичная без примесей твердая без примесей, а также пластичная и твердая с примесью щебня, гальки до 10% пластичная и твердая с примесью щебня, гальки более 10% |
1650 1650 1850 |
| Суглинок: мягкопластичный без примесей то же, с примесью частиц щебня и гравия до 10% и тугопластичный без примесей мягкопластичный с примесью гальки более 10% тяжелый | 1700 1750 1750 1900 |
| Глина: мягко- и тугопластичная без примесей то же, с примесью гальки и гравия до 10% то же, более 10% полутвердая, твердая плотная, вязкая | 1800 1750 1900 1950 2100 |
| Лёсс: мягкопластичный тугопластичный, твердый | 1600 1800 |
Таблица 1.5
Значение плотности частиц песчано-глинистых грунтов
| Грунт | Плотность ρS, кг/м3 |
|---|---|
| Песок | 2,66 |
| Супесь | 2,70 |
| Суглинок | 2,71 |
| Глина | 2,74 |
Плотность частиц грунта ρS выражается через плотность грунта в естественном состоянии ρ и коэффициент пористости е:
ρS = ρ/(1–е).
Пористость грунта n — отношение объема пор (пустот) Vп в грунте к общему объему грунта Vгр, %:
n = (Vп / Vгр)100%,
n = (1 – ρd /ρS)100%.
Пористость зависит от гранулометрического состава грунта, формы частиц и плотности их сложения (табл. 1.6). Чем больше пористость и рыхлость грунта, тем легче он поддается гидравлическому размыву.
Таблица 1.6
Значение пористости для некоторых грунтов
| Грунт | Пористость грунта n, % |
|---|---|
| Глины | 35–50 |
| То же, ленточные | 47–52 |
| То же, коренные, пластичные (юрские, майкопские, сарматские) | 52–56 |
| Суглинки: лёссовидные моренные покровные | 42–47 25–26 28–40 |
| Супески | 25–30 |
| Пески | 30–45 |
| Ил | 60–90 |
Коэффициент пористости грунта е — отношение объемов пор в грунте Vп к объему твердой фазы грунта Vтв, %:
e = Vп /Vтв = (ρS /ρd) – 1,
e = n/(1 – n).
Коэффициент пористости e характеризует плотность укладки зерен грунта (чем меньше е, тем плотнее грунт). В зависимости от коэффициента пористости е песчаные грунты делят по плотности сложения на плотные, средней плотности и рыхлые (табл. 1.7).
Таблица 1.7
Классификация песков по пористости
| Пески | Коэффициент пористости, е | ||
|---|---|---|---|
| Плотные | Средней плотности | Рыхлые | |
| Гравелистые крупные и средней крупности | Менее 0,55 | 0,55–0,7 | Более 0,7 |
| Мелкие | Менее 0,6 | 0,6–0,75 | Более 0,75 |
| Пылеватые | Менее 0,6 | 0,6–0,8 | Более 0,8 |
Гидравлическая крупность частиц грунта ω, см/с — скорость падения частиц грунта в спокойной воде (табл. 1.8), которая зависит от формы, размеров и плотности частиц грунта, вязкости и плотности среды.
Гидравлическая крупность частиц грунта используется при расчетах процессов всасывания, осаждения, гидравлической классификации и др.
При гидравлических расчетах процессов гидромеханизации учитывают усредненную гидравлическую крупность стесненного падения частиц грунта различной крупности, равную среднеарифметическому значению:
ωi = (ω1 + ω2)/2
или среднегеометрическому значению гидравлической крупности отдельных фракций (при числе фракций i):
Таблица 1.8
Гидравлическая крупность частиц грунта при свободном падении в спокойной воде
| Диаметр частиц, мм | ωсв, см/с, при температуре воды | |||
|---|---|---|---|---|
| 5°С | 10°С | 15°С | 20°С | |
| 0,001 | 0,000126 | 0,00049 | 0,00005 | 0,00006 |
| 0,01 | 0,0043 | 0,0049 | 0,0056 | 0,0064 |
| 0,05 | 0,106 | 0,124 | 0,148 | 0,16 |
| 0,10 | 0,386 | 0,46 | 0,535 | 0,61 |
| 0,125 | 0,55 | 0,66 | 0,78 | 0,89 |
| 0,25 | 1,84 | 2,05 | 2,26 | 2,46 |
| 0,50 | 5,34 | 5,67 | 6,0 | 6,33 |
| 0,75 | 8,81 | 9,23 | 9,65 | 10,07 |
| 1,0 | 11,20 | 11,68 | 12,17 | 12,66 |
| 1,5 | 15,15 | 15,65 | 16,15 | 16,65 |
| 2,0 | 18,25 | 18,75 | 19,25 | 19,75 |
| 2,5 | 20,42 | 20,92 | 21,42 | 21,92 |
| 3,0 | 22,25 | 22,75 | 23,25 | 23,75 |
| 3,5 | – | 24,53 | – | – |
| 4,0 | – | 26,85 | – | – |
| 5,0 | – | 30,00 | – | – |
| 6,0 | – | 32,8 | – | – |
| 7,0 | – | 35,5 | – | – |
| 8,0 | – | 38,0 | – | – |
| 9,0 | – | 40,3 | – | – |
| 10,0 | – | 42,5 | – | – |
| 15,0 | – | 52,0 | – | – |
| 20,0 | – | 60,2 | – | – |
| 25,0 | – | 67,2 | – | – |
| 30,0 | – | 73,6 | – | – |
В таблице приведены данные для грунтов плотностью частиц ρS = 2,65 т/м3.
Влажность грунта W, % — это отношение массы воды в порах грунта к массе сухого грунта mc в данном объеме, выражаемое в процентах или долях единицы:
где mвл, mc — масса грунта соответственно до и после высушивания.
Влажность грунта влияет на связь (сцепление) между частицами и состояние грунта, особенно на его консистенцию.
Объемная влажность:
Wоб = Wρd.
Абсолютная влажность (полная влагоемкость) Wполн, % представляет заполнение всех пор водой:
где ρв — плотность воды.
Коэффициент (индекс) водонасыщенности Kw — это отношение фактической влажности W к абсолютной Wполн:
Кw = W/Wполн.
Коэффициент водонасыщенности Kw (табл. 1.9, 1.10) характеризует степень насыщения грунта водой (в долях единицы).
Таблица 1.9
Коэффициент водонасыщенности
| Песок | Kw, доли единицы |
|---|---|
| Сухой (маловлажный) | < 0,5 |
| Влажный | 0,5–0,8 |
| Водонасыщенный | 0,8–1,0 |
Таблица 1.10
Предельное значение влажности грунтов природного сложения
| Грунт | W, % |
|---|---|
| Песок | 1–10 |
| Супесь | 10–15 |
| Суглинок | 15–25 |
| Глина | 25–35 |
Набухание — это способность грунта при увеличении его влажности увеличиваться в объеме.
Процесс, обратный набуханию, происходящий при высыхании грунта, называют его усадкой.
Коэффициент набухания Кн — это отношение объема грунта после насыщения его водой к объему его в естественном состоянии:
Кн = Vн/Vест.
Коэффициент набухания Кнучитывают при определении объема гидроотвала (табл. 1.11).
Таблица 1.11
Коэффициент набухания некоторых грунтов
| Грунт | Кн, доли единицы |
|---|---|
| Глины: тяжелые вязкие обычные пластичные | 2–1,5 1,5 |
| Суглинки: тяжелые средние легкие | 1,5–1,45 1,45–1,2 1,2 |
| Супеси | 1,15–1,05 |
| Пески: пылеватые глинистые крупнозернистые | 1,1 1,05 1,0 |
Коэффициент разрыхления грунта Кр — это отношение объема разрыхленного грунта к объему грунта в природном состоянии (табл. 1.12).
Таблица 1.12
Коэффициент разрыхления грунтов
| Грунт | Кр, доли единицы |
|---|---|
| Чистый песок и гравий | 1,05–1,2 |
| Суглинистый и супесчаный грунт | 1,2–1,25 |
| Глина и плотная глина с галькой | 1,3–1,4 |
| Щебенистый грунт | 1,4–1,45 |
Угол естественного откоса φе — это наибольший (предельный) угол наклона откоса уступа к горизонту с сохранением устойчивого состояния (когда грунт не осыпается и не оплывает). Этот угол зависит от характера и влажности грунтов (табл. 1.13).
Таблица 1.13
Угол естественного откоса
| Грунт | Угол естественного откоса φе в градусах для грунта | ||
|---|---|---|---|
| сухого | влажного | мокрого | |
| Растительный | 40 | 35 | 25 |
| Песок крупный | 30–35 | 32–40 | 25–27 |
| Песок средний | 28–30 | 35 | 25 |
| Песок мелкий | 25 | 30–35 | 15–20 |
| Суглинок | 40–50 | 35–40 | 25–30 |
| Глина жирная | 40–45 | 35 | 15–20 |
| Гравий | 35–40 | 35 | 25–30 |
| Торф (без корней) | 40 | 25 | 15 |
Сцепление С — свойство грунта, характеризующее его связность. Чем больше сцепление грунта, тем грунт прочнее и тем больший расход воды требуется на его размыв (табл. 1.14).
Таблица 1.14
Удельное сцепление частиц грунта и расход воды на его размыв
| Грунт | Сцепление, C МПа | Удельный расход воды q, м3, на размыв 1 м3 грунта |
|---|---|---|
| Песок пылеватый | 0,004–0,008 | 4–6 |
| Супесь | 0,007–0,042 | 4–10 |
| Суглинок | 0,019–0,068 | 10–16 |
| Глина | 0,037–0,082 | 12–18 |
| Жирная глина | 0,047–0,094 | 14–20 |
Угол внутреннего трения φ характеризует сопротивление грунта сдвигу.
Для сыпучих рыхлых грунтов угол внутреннего трения приближается к углу естественного откоса (табл. 1.15)
Таблица 1.15
Угол внутреннего трения φ для несвязанных грунтов
| Грунт | Угол внутреннего трения φ, в градусах для грунтов | ||
|---|---|---|---|
| сухого | влажного | водонасыщенного | |
| Песок крупный и гравелистый средней крупности мелкий пылеватый | 33–37 30–33 27–33 27–33 | 30–35 27–30 25–30 22–25 | 30–35 25–28 22–28 18–22 |
| Гравий и галька | 40 | 40 | 40 |
| Супесь | 22–27 | 20–25 | 15–18 |
| Торф | 25 | 20 | 15 |
| Растительный грунт | 40 | 35 | 25 |
Водопроницаемость — это способность грунтов пропускать воду под действием силы тяжести или гидростатического напора.
Водопроницаемость оценивается коэффициентом фильтрации Кф, который зависит от состава, степени уплотненности, структуры и сложения грунтов. Обычно коэффициент фильтрации Кф выражается в единицах скорости, м/сут, м/с (табл. 1.16).
Таблица 1.16
Коэффициент фильтрации для некоторых видов грунтов
| Грунт | Коэффициент фильтрации Кф, м/сут |
|---|---|
| Песок: пылеватый, фракции 0,01–0,05 мм мелкозернистый, фракции 0,1–0,25 мм среднезернистый, фракции 0,25–0,5 мм крупнозернистый, фракции 0,5–1,0 мм | 0,5–1,0 10–15 20–25 60–75 |
| Супесь: плотная рыхлая | 0,1–0,01 1,0–0,1 |
| Суглинок: тяжелый легкий и средний | 0,05–0,01 0,04–0,005 |
| Глина | менее 0,001 |
| Галечник: с песком чистый | 20–100 до 200 |
| Гравий: с песком чистый | 75–150 100–200 |
Абразивность грунта — это способность разрабатываемых грунтов истирать (изнашивать) рабочие органы и оборудование гидромеханизации.
Абразивные свойства грунта зависят от гранулометрического состава, степени окатанности и твердости зерен. Абразивность грунта в зависимости от степени окатанности и твердости его частиц учитывается коэффициентом абразивности Ка по шкале, разработанной Б.М. Шкундиным, которая составлена на основании твердости минералов по Моосу (табл. 1.17) [9].
Таблица 1.17
Коэффициенты абразивности грунтов (по Б.М. Шкундину)
| Грунт | Степень окатанности зерен грунта | Ка при средней твердости по Моосу | ||
|---|---|---|---|---|
| 5 | 6 | 7 | ||
| Песок мелкий и средней крупности | >8 8–6,5 <6,5 | 0,2 0,3 0,4 | 0,5 0,8 1,3 | 0,6 0,9 1,5 |
| Песок разнозернистый крупный и гравелистый | >8 8–6,5 <6,5 | 0,3 0,4 0,7 | 0,9 1,3 2,2 | 1,0 1,5 2,5 |
| Песчано-гравийный грунт | >8 8–6,5 <6,5 | 0,9 1,3 2,2 | 2,7 4,0 6,5 | 3,0 4,5 7,5 |
Если известна интенсивность износа трубопроводов, рабочих органов и другого оборудования гидромеханизации при некоторых средних значениях условий эксплуатации, то, пользуясь этой таблицей, можно прогнозировать износ и в других условиях.
sapropel.info
31. Сопротивление грунтов сдвигу. Основные понятия.
При рассмотрении равновесия
отдельной частицы песчаного грунта на
открытом откосе.
φ – угол естественного откоса.
Из рассматриваемого равновесия этой частицы можно написать следующее уравнение: f = T/N= (Gsinφ)/(Gcosφ) =tgφ,T- сдвигающая сила,S– удерживающая сила,G– сила тяжести,N– нормаль к плоскости сдвига,f– коэффициент трения.
Под действием внешней нагрузки в отдельных точках грунтового массива напряжения могут превысить связи между частицами. При этом возникают скольжения и сдвиги одних частиц или агрегатов по другим и может нарушиться сплошность грунта, т.е. прочность его будет превышена. Под прочностью подразумевается свойство материала сопротивляться разрушению или развитию больших пластичных деформаций, приводящих к недопустимым искажениям формы тела.
С – удельное сцепление грунта – характеризует связность грунта, зависит от наличия жестких и водно-коллоидных связей, структуры грунта.
Внутренние сопротивления препятствуют сдвигу частиц. В идеально сыпучих телах будет лишь трение, возникающее в точках контакта частиц. В идеально связных грунтах (вязкие дисперсные глины) перемещение частиц будут сопротивления только внутренних структур связей и вязкость водно-коллоидных оболочек. Природные глины обладают как вязкими (водно-коллоидными) так и жесткими кристаллическими связями, до тех пор пока действие напряжений внутренних связей не преодолены. Глины ведут себя как твердые тела, обладающие лишь упругими связями сцепления. Под силами сцепления будем подразумевать сцепление структурных связей всякому перемещению связных частиц независимо от величины внешнего давления. Если нагрузка будет такова, что эффективные напряжения превзойдут прочность жестких структурных связей. То в точках контакта частиц и по поверхности их водно-коллоидных оболочек сдвижению частиц будут сопротивляться еще оставшиеся и вновь возникающие водно-коллоидные связи.
Для характеристики сил трения между частицами внутри массива вводиться понятие угла внутреннего трения – φи уд. сцепление – С.
tgφ– характеризует соотношение между нормальным и сдвиговым напряжениями внутри массива, а С – сопротивление структурных связей всякому перемещению.
φ и С – основные прочностные показатели сопротивления грунта сдвигу.
32. Угол внутреннего трения и удельное сцепление
Для характеристики сил трения между частицами внутри массива вводиться понятие угла внутреннего трения – φи уд. сцепление – С.
tgφ– характеризует соотношение между нормальным и сдвиговым напряжениями внутри массива, а С – сопротивление структурных связей всякому перемещению.
φ и С – основные прочностные показатели сопротивления грунта сдвигу.
Под действием внешней нагрузки в отдельных точках грунтового массива напряжения могут превысить связи между частицами. При этом возникают скольжения и сдвиги одних частиц или агрегатов по другим и может нарушиться сплошность грунта, т.е. прочность его будет превышена. Под прочностью подразумевается свойство материала сопротивляться разрушению или развитию больших пластичных деформаций, приводящих к недопустимым искажениям формы тела.
С – удельное сцепление грунта – характеризует связность грунта, зависит от наличия жестких и водно-коллоидных связей, структуры грунта.
studfiles.net
Классификация видов грунтов по своим группам
От надежности функционирования системы «основание-фундамент-сооружение» зависит и срок эксплуатации здания, и уровень «качества жизни» его жильцов. Причем, надежность указанной системы базируется именно на характеристиках грунта, ведь любая конструкция должна опираться на надежное основание.
Именно поэтому, успех большинства начинаний строительных компаний зависит от грамотного выбора месторасположения строительной площадки. И такой выбор, в свою очередь, невозможен без понимания тех принципов, на которых основывается классификация грунтов.
С точки зрения строительных технологий существуют четыре основных класса, к которым принадлежат:
– скальные грунты, структура которых однородна и основана на жестких связях кристаллического типа;
– дисперсные грунты, состоящие из несвязанных между собой минеральных частиц;
– природные, мерзлые грунты, структура которых образовалась естественным путем, под действием низких температур;
– техногенные грунты, структура которых образовалась искусственным путем, в результате деятельности человека.
Впрочем, подобная классификация грунтов имеет несколько упрощенный характер и показывает только на степень однородности основания. Исходя из этого, любой скальный грунт представляет собой монолитное основание, состоящее из плотных пород. В свою очередь, любой нескальный грунт основан на смеси минеральных и органических частиц с водой и воздухом.
Разумеется, в строительном деле пользы от такой классификации немного. Поэтому, каждый тип основания разделяют на несколько классов, групп, типов и разновидностей. Подобная классификация грунтов по группам и разновидностям позволяет без труда сориентироваться в предполагаемых характеристиках будущего основания и дает возможность использовать эти знания в процессе строительства дома.
Например, принадлежность к той или иной группе в классификации грунтов определяется характером структурных связей, влияющих на прочностные характеристики основания. А конкретный тип грунта указывает на вещественный состав почвы. Причем, каждая классификационная разновидность указывает на конкретное соотношение компонентов вещественного состава.
Таким образом, глубокая классификация грунтов по группам и разновидностям дает вполне персонифицированное представление обо всех преимущества и недостатки будущей строительной площадки.
Например, в наиболее распространенном на территории европейской части России классе дисперсных грунтов имеется всего две группы, разделяющие эту классификацию на связанные и несвязанные почвы. Кроме того, в отдельную подгруппу дисперсного класса выделены особые, илистые грунты.
Такая классификация грунтов означает, что среди дисперсных грунтов имеются группы, как с ярко выраженными связями в структуре, так и с отсутствием таковых связей. К первой группе связанных дисперсных грунтов относятся глинистые, илистые и заторфованные виды почвы. Дальнейшая классификация дисперсных грунтов позволяет выделить группу с несвязной структурой – пески и крупнообломочные грунты.
В практическом плане подобная классификация грунтов по группам позволяет получить представление о физических характеристиках почвы «без оглядки» на конкретный вид грунта. У дисперсных связных грунтов практически совпадают такие характеристики, как естественная влажность (колеблется в пределах 20%), насыпная плотность (около 1,5 тонн на кубометр), коэффициент разрыхления (от 1,2 до 1,3), размер частиц (около 0,005 миллиметра) и даже число пластичности.
Аналогичные совпадения характерны и для дисперсных несвязных грунтов. То есть, имея представление о свойствах одного вида грунта, мы получаем сведения о характеристиках всех видов почвы из конкретной группы, что позволяет внедрять в процесс проектирования усредненные схемы, облегчающие прочностные расчеты.
Кроме того, помимо вышеприведенных схем, существует и особая классификация грунтов по трудности разработки. В основе этой классификации лежит уровень «сопротивляемости» грунта механическому воздействию со стороны землеройной техники.
Причем, классификация грунтов по трудности разработки зависит от конкретного вида техники и разделяет все типы грунтов на 7 основных групп, к которым принадлежат дисперсные, связанные и несвязанные грунты (группы 1-5) и скальные грунты (группы 6-7).
Песок, суглинок и глинистые грунты (принадлежат к 1-4 группе) разрабатывают обычными экскаваторами и бульдозерами. А вот остальные участники классификации требуют более решительного подхода, основанного на механическом рыхлении или взрывных работах. В итоге, можно сказать, что классификация грунтов по трудности разработки зависит от таких характеристик, как сцепление, разрыхляемость и плотность грунта.
ГЕНЕТИЧЕСКИЕ ТИПЫ ГРУНТОВ ЧЕТВЕРТИЧНОГО ВОЗРАСТА
| Типы грунтов | Обозначение |
| Аллювиальные (речные отложения) | a |
| Озерные | l |
| Озерно-аллювиальные | lа |
| Делювиальные (отложения дождевых и талых вод на склонах и у подножия возвышенностей) | d |
| Аллювиально-делювиальные | ad |
| Эоловые (осаждения из воздуха): эоловые пески, лессовые грунты | L |
| Гляциальные (ледниковые отложения) | g |
| Флювиогляциальные (отложении ледниковых потоков) | f |
| Озерно-ледниковые | lg |
| Элювиальные (продукты выветривания горных пород, оставшиеся на месте образования) | е |
| Элювиально-делювиальное | ed |
| Пролювиальные (отложения бурных дождевых потоков в горных областях) | p |
| Аллювиально-пролювиальные | ap |
| Морские | m |
РАСЧЕТНЫЕ ФОРМУЛЫ ОСНОВНЫХ ФИЗИЧЕСКИХ ХАРАКТЕРИСТИК ГРУНТОВ
| Характеристики | Формула |
| Плотность сухого грунта, г/см3 (т/м3) | ρd = ρ/(1 + w) |
| Пористость % | n = (1 − ρd /ρs)·100 |
| Коэффициент пористости | e = n/(100 − n) или e = (ρs − ρd)/ ρd |
| Полная влагоемкость | ω0 = eρw /ρs |
| Степень влажности | |
| Число пластичности | Ip = ωL − ωp |
| Показатель текучести | IL = (ω − ωp)/(ωL − ωp) |
ПЛОТНОСТЬ ЧАСТИЦ ρs ПЕСЧАНЫХ И ПЫЛЕВАТО-ГЛИНИСТЫХ ГРУНТОВ
| Грунт | ρs, г/см3 | |
| диапазон | средняя | |
| Песок | 2,65–2,67 | 2,66 |
| Супесь | 2,68–2,72 | 2,70 |
| Суглинок | 2,69–2,73 | 2,71 |
| Глина | 2,71–2,76 | 2,74 |
КЛАССИФИКАЦИЯ СКАЛЬНЫХ ГРУНТОВ
| Грунт | Показатель |
| По пределу прочности на одноосное сжатие в водонасыщенном состоянии, МПа | |
| Очень прочный | Rc > 120 |
| Прочный | 120 ≥ Rc > 50 |
| Средней прочности | 50 ≥ Rc > 15 |
| Малопрочный | 15 ≥ Rc > 5 |
| Пониженной прочности | 5 ≥ Rc > 3 |
| Низкой прочности | 3 ≥ Rc ≥ 1 |
| Весьма низкой прочности | Rc < 1 |
| По коэффициенту размягчаемости в воде | |
| Неразмягчаемый | Ksaf ≥ 0,75 |
| Размягчаемый | Ksaf < 0,75 |
| По степени растворимости в воде (осадочные сцементированные), г/л | |
| Нерастворимый | Растворимость менее 0,01 |
| Труднорастворимый | Растворимость 0,01—1 |
| Среднерастворимый | − || − 1—10 |
| Легкорастворимый | − || − более 10 |
КЛАССИФИКАЦИЯ КРУПНООБЛОМОЧНЫХ И ПЕСЧАНЫХ ГРУНТОВ ПО ГРАНУЛОМЕТРИЧЕСКОМУ СОСТАВУ
| Грунт | Размер частиц, мм | Масса частиц, % от массы воздушно-сухого грунта |
| Крупнообломочный: валунный (глыбовый) галечниковый (щебенистый) гравийный (дресвяный) |
>200 >10 >2 |
>50 |
| Песок: гравелистый крупный средней крупности мелкий пылеватый |
>2 >0,5 >0,25 >0,1 >0,1 |
>25 >50 >50 ≥75 <75 |
ПОДРАЗДЕЛЕНИЕ КРУПНООБЛОМОЧНЫХ И ПЕСЧАНЫХ ГРУНТОВ ПО СТЕПЕНИ ВЛАЖНОСТИ Sr
| Грунт | Степень влажности |
| Маловлажный | 0 < Sr ≤ 0,5 |
| Влажный | 0,5 < Sr ≤ 0,8 |
| Насыщенный водой | 0,8 < Sr ≤ 1 |
ПОДРАЗДЕЛЕНИЕ ПЕСЧАНЫХ ГРУНТОВ ПО ПЛОТНОСТИ СЛОЖЕНИЯ
| Песок | Подразделение по плотности сложения | ||
| плотный | средней плотности | рыхлый | |
| По коэффициенту пористости | |||
| Гравелистый, крупный и средней крупности | e < 0,55 | 0,55 ≤ e ≤ 0,7 | e > 0,7 |
| Мелкий | e < 0,6 | 0,6 ≤ e ≤ 0,75 | e > 0,75 |
| Пылеватый | e < 0,6 | 0,6 ≤ e ≤ 0,8 | e > 0,8 |
| По удельному сопротивлению грунта, МПа, под наконечником (конусом) зонда при статическом зондировании | |||
| Крупный и средней крупности независимо от влажности | qc > 15 | 15 ≥ qc ≥ 5 | qc < 5 |
| Мелкий независимо от влажности | qc > 12 | 12 ≥ qc ≥ 4 | qc < 4 |
| Пылеватый: маловлажный и влажный водонасыщенный |
qc > 10 qc > 7 |
10 ≥ qc ≥ 3 7 ≥ qc ≥ 2 |
qc < 3 qc < 2 |
| По условному динамическому сопротивлению грунта МПа, погружению зонда при динамическом зондировании | |||
| Крупный и средней крупности независимо от влажности | qd > 12,5 | 12,5 ≥ qd ≥ 3,5 | qd < 3,5 |
| Мелкий: маловлажный и влажный водонасыщенный |
qd > 11 qd > 8,5 |
11 ≥ qd ≥ 3 8,5 ≥ qd ≥ 2 |
qd < 3 qd < 2 |
| Пылеватый маловлажный и влажный | qd > 8,8 | 8,5 ≥ qd ≥ 2 | qd < 2 |
ПОДРАЗДЕЛЕНИЕ ПЫЛЕВАТО-ГЛИНИСТЫХ ГРУНТОВ ПО ЧИСЛУ ПЛАСТИЧНОСТИ
| Грунт | Число пластичности, % |
| Супесь | 1 < Ip ≤ 7 |
| Суглинок | 7 < Ip ≤ 17 |
| Глина | Ip > 17 |
ПОДРАЗДЕЛЕНИЕ ПЫЛЕВАТО-ГЛИНИСТЫХ ГРУНТОВ ПО ПОКАЗАТЕЛЮ ТЕКУЧЕСТИ
| Грунт | Показатель текучести |
| Супесь: | IL < 0 |
| пластичная | 0 ≤ IL ≤ 1 |
| текучая | IL > 1 |
| Суглинок и глина: | |
| твердые | IL < 0 |
| полутвердые | 0 ≤ IL ≤ 0,25 |
| тугопластичные | 0,25 ≤ IL ≤ 0,5 |
| мягкопластичные | 0,5 ≤ IL ≤ 0,75 |
| текучепластичные | 0,75 ≤ IL ≤ 1 |
| текучие | IL > 1 |
ПОДРАЗДЕЛЕНИЕ ИЛОВ ПО КОЭФФИЦИЕНТУ ПОРИСТОСТИ
| Ил | Коэффициент пористости |
| Супесчаный | е ≥ 0,9 |
| Суглинистый | е ≥ 1 |
| Глинистый | е ≥ 1,5 |
ПОДРАЗДЕЛЕНИЕ САПРОПЕЛЕЙ ПО ОТНОСИТЕЛЬНОМУ СОДЕРЖАНИЮ ОРГАНИЧЕСКОГО ВЕЩЕСТВА
| Сапропель | Относительное содержание вещества |
| Минеральный | 0,1 < Iот ≤ 0,3 |
| Среднеминеральный | 0,3 < Iот ≤ 0,5 |
| Слабоминеральный | Iот > 0,5 |
НОРМАТИВНЫЕ ЗНАЧЕНИЯ МОДУЛЕЙ ДЕФОРМАЦИИ Е ПЫЛЕВАТО-ГЛИНИСТЫХ ГРУНТОВ
| Возраст и происхождение грунтов | Грунт | Показатель текучести | Значения Е, МПа, при коэффициенте пористости е | ||||||||||
| 0,35 | 0,45 | 0,55 | 0,65 | 0,75 | 0,85 | 0,95 | 1,05 | 1,2 | 1,4 | 1,6 | |||
| Четвертичные отложения: иллювиальные, делювиальные, озерно-аллювиальные | Супесь | 0 ≤ IL ≤ 0,75 | – | 32 | 24 | 16 | 10 | 7 | – | – | – | – | – |
| Суглинок | 0 ≤ IL ≤ 0,25 | – | 34 | 27 | 22 | 17 | 14 | 11 | – | – | – | – | |
| 0,25 < IL ≤ 0,5 | – | 32 | 25 | 19 | 14 | 11 | 8 | – | – | – | – | ||
| 0,5 < IL ≤ 0,75 | – | – | – | 17 | 12 | 8 | 6 | 5 | – | – | – | ||
| Глина | 0 ≤ IL ≤ 0,25 | – | – | 28 | 24 | 21 | 18 | 15 | 12 | – | – | – | |
| 0,25 < IL ≤ 0,5 | – | – | – | 21 | 18 | 15 | 12 | 9 | – | – | – | ||
| 0,5 < IL ≤ 0,75 | – | – | – | – | 15 | 12 | 9 | 7 | – | – | – | ||
| флювиогляциальные | Супесь | 0 ≤ IL ≤ 0,75 | – | 33 | 24 | 17 | 11 | 7 | – | – | – | – | – |
| Суглинок | 0 ≤ IL ≤ 0,25 | – | 40 | 33 | 27 | 21 | – | – | – | – | – | – | |
| 0,25<IL≤0,5 | – | 35 | 28 | 22 | 17 | 14 | – | – | – | – | – | ||
| 0,5 < IL ≤ 0,75 | – | – | – | 17 | 13 | 10 | 7 | – | – | – | – | ||
| моренные | Супесь и суглинок | IL ≤ 0,5 | 75 | 55 | 45 | – | – | – | – | – | – | – | – |
| Юрские отложения оксфордского яруса | Глина | − 0,25 ≤ IL ≤ 0 | – | – | – | – | – | – | 27 | 25 | 22 | – | – |
| 0 < IL ≤ 0,25 | – | – | – | – | – | – | 24 | 22 | 19 | 15 | – | ||
| 0,25 < IL ≤ 0,5 | – | – | – | – | – | – | – | – | 16 | 12 | 10 | ||
Определение модуля деформации в полевых условиях
Модуль деформации определяют испытанием грунта статической нагрузкой, передаваемой на штамп. Испытания проводят в шурфах жестким круглым штампом площадью 5000 см2, а ниже уровня грунтовых вод и на больших глубинах — в скважинах штампом площадью 600 см2.

Зависимость осадки штампа s от давления р

Схема испытания грунта прессиометром
1 — резиновая камера; 2 — скважина; 3 — шланг; 4 — баллон сжатого воздуха: 5 — измерительное устройство

Зависимость деформаций стенок скважины Δr от давления р
Для определения модуля деформации используют график зависимости осадки от давления, на котором выделяют линейный участок, проводят через него осредняющую прямую и вычисляют модуль деформации Е в соответствии с теорией линейно-деформируемой среды по формуле
E = (1 − ν2)ωdΔp / Δsгде v — коэффициент Пуассона (коэффициент поперечной деформации), равный 0,27 для крупнообломочных грунтов, 0,30 для песков и супесей, 0,35 для суглинков и 0,42 для глин; ω — безразмерный коэффициент, равный 0,79; dр — приращение давления на штамп; Δs — приращение осадки штампа, соответствующее Δр.
При испытании грунтов необходимо, чтобы толщина слоя однородного грунта под штампом была не менее двух диаметров штампа.
Модули деформации изотропных грунтов можно определять в скважинах с помощью прессиометра. В результате испытаний получают график зависимости приращения радиуса скважины от давления на ее стенки. Модуль деформации определяют на участке линейной зависимости деформации от давления между точкой р1, соответствующей обжатию неровностей стенок скважины, и точкой р2E = kr0Δp / Δr
где k — коэффициент; r0 — начальный радиус скважины; Δр — приращение давления; Δr — приращение радиуса, соответствующее Δр.
Коэффициент k определяется, как правило, путем сопоставления данных прессиометрии с результатами параллельно проводимых испытаний того же грунта штампом. Для сооружений II и III класса допускается принимать в зависимости от глубины испытания h следующие значения коэффициентов k в формуле: при h < 5 м k = 3; при 5 м ≤ h ≤ 10 м kh ≤ 20 м k = 1,5.
Для песчаных и пылевато-глинистых грунтов допускается определять модуль деформации на основе результатов статического и динамического зондирования грунтов. В качестве показателей зондирования принимают: при статическом зондировании — сопротивление грунта погружению конуса зонда qc, а при динамическом зондирований — условное динамическое сопротивление грунта погружению конуса qd. Для суглинков и глин E = 7qc и E = 6qd; для песчаных грунтов E = 3qc, а значения Е по данным динамического зондирования приведены в таблице. Для сооружений I и II класса является обязательным сопоставление данных зондирования с результатами испытаний тех же грунтов штампами.
ЗНАЧЕНИЯ МОДУЛЕЙ ДЕФОРМАЦИИ Е ПЕСЧАНЫХ ГРУНТОВ ПО ДАННЫМ ДИНАМИЧЕСКОГО ЗОНДИРОВАНИЯ
| Песок | Значения Е, МПа, при qd, МПа | |||||
| 2 | 3,5 | 7 | 11 | 14 | 17,5 | |
| Крупный и средней крупности | 20–16 | 26–21 | 39–34 | 49–44 | 53–50 | 60–55 |
| Мелкий | 13 | 19 | 29 | 35 | 40 | 45 |
| Пылеватый (кроме водонасыщенных) | 8 | 13 | 22 | 28 | 32 | 35 |
Для сооружений III класса допускается определять Е только по результатам зондирования.
Определение модуля деформации в лабораторных условиях
В лабораторных условиях применяют компрессионные приборы (одометры), в которых образец грунта сжимается без возможности бокового расширения. Модуль деформации вычисляют на выбранном интервале давлений Δр = p2 − p1 графика испытаний (рис. 1.4) по формуле
Eoed = (1 + e0)β / aгде e0 — начальный коэффициент пористости грунта; β — коэффициент, учитывающий отсутствие поперечного расширения грунта в приборе и назначаемый в зависимости от коэффициента Пуассона v; а — коэффициент уплотнения;
a = (e1 − e2)/(p2 − p1)
СРЕДНИЕ ЗНАЧЕНИЯ КОЭФФИЦИЕНТА ПУАССОНА vβ
| Грунт | ν | β = 1 − 2ν2 / (1 − ν) |
| Песок и супесь | 0,30 | 0,74 |
| Суглинок | 0,35 | 0,62 |
| Глина | 0,42 | 0,40 |
КОЭФФИЦИЕНТЫ m ДЛЯ АЛЛЮВИАЛЬНЫХ, ДЕЛЮВИАЛЬНЫХ, ОЗЕРНЫХ И ОЗЕРНО-АЛЛЮВИАЛЬНЫХ ЧЕТВЕРТИЧНЫХ ГРУНТОВ ПРИ ПОКАЗАТЕЛЕ ТЕКУЧЕСТИ IL ≤ 0,75
| Грунт | Значения m при коэффициенте пористости e | ||||||
| 0,45 | 0,55 | 0,65 | 0,75 | 0,85 | 0,95 | 1,05 | |
| Супесь | 4,0 | 4,0 | 3,5 | 3,0 | 2,0 | – | – |
| Суглинок | 5,0 | 5,0 | 4,5 | 4,0 | 3,0 | 2,5 | 2,0 |
| Глина | – | – | 6,0 | 6,0 | 5,5 | 5,0 | 4,5 |
НОРМАТИВНЫЕ ЗНАЧЕНИЯ УДЕЛЬНЫХ СЦЕПЛЕНИИ c, кПа, И УГЛОВ ВНУТРЕННЕГО ТРЕНИЯ φ, град, ПЕСЧАНЫХ ГРУНТОВ
| Песок | Характеристика | Значения с и φ при коэффициенте пористости e | |||
| 0,45 | 0,55 | 0,65 | 0,75 | ||
| Гравелистый и крупный | с φ |
2 43 |
1 40 |
0 38 |
– – |
| Средней крупности | с φ |
3 40 |
2 38 |
1 35 |
– – |
| Мелкий | с φ |
6 38 |
4 36 |
2 32 |
0 28 |
| Пылеватый | с φ |
8 36 |
6 34 |
4 30 |
2 26 |
НОРМАТИВНЫЕ ЗНАЧЕНИЯ УДЕЛЬНЫХ СЦЕПЛЕНИЯ c, кПа, И УГЛОВ ВНУТРЕННЕГО ТРЕНИЯ φ, град, ПЫЛЕВАТО-ГЛИНИСТЫХ ГРУНТОВ ЧЕТВЕРТИЧНЫХ ОТЛОЖЕНИЙ
| Грунт | Показатель текучести | Характеристика | Значения с и φ при коэффициенте пористости е | ||||||
| 0,45 | 0,55 | 0,65 | 0,75 | 0,85 | 0,95 | 1,05 | |||
| Супесь | 0<IL≤0,25 | с φ |
21 30 |
17 29 |
15 27 |
13 24 |
– – |
– – |
– – |
| 0,25<IL≤0,75 | с φ |
19 28 |
15 26 |
13 24 |
11 21 |
9 18 |
– – |
– – |
|
| Суглинок | 0<IL≤0,25 | с φ |
47 26 |
37 25 |
31 24 |
25 23 |
22 22 |
19 20 |
– – |
| 0,25<IL≤0,5 | с φ |
39 24 |
34 23 |
28 22 |
23 21 |
18 19 |
15 17 |
– – |
|
| 0,5<IL≤0,75 | с φ |
– – |
– – |
25 19 |
20 18 |
16 16 |
14 14 |
12 12 |
|
| Глина | 0<IL≤0,25 | с φ |
– – |
81 21 |
68 20 |
54 19 |
47 18 |
41 16 |
36 14 |
| 0,25<IL≤0,5 | с φ |
– – |
– – |
57 18 |
50 17 |
43 16 |
37 14 |
32 11 |
|
| 0,5<IL≤0,75 | с φ |
– – |
– – |
45 15 |
41 14 |
36 12 |
33 10 |
29 7 |
|
ЗНАЧЕНИЯ УГЛОВ ВНУТРЕННЕГО ТРЕНИЯ φ ПЕСЧАНЫХ ГРУНТОВ ПО ДАННЫМ ДИНАМИЧЕСКОГО ЗОНДИРОВАНИЯ
| Песок | Значения φ, град, МПа при qd, МПа | |||||
| 2 | 3,5 | 7 | 11 | 14 | 17,5 | |
| Крупный и средней крупности | 30 | 33 | 33 | 38 | 40 | 41 |
| Мелкий | 28 | 30 | 33 | 35 | 37 | 38 |
| Пылеватый | 28 | 28 | 30 | 32 | 34 | 35 |
ОРИЕНТИРОВОЧНЫЕ ЗНАЧЕНИЯ КОЭФФИЦИЕНТА ФИЛЬТРАЦИИ ГРУНТОВ
| Грунт | k, м/сут |
| Галечниковый (чистый) | >200 |
| Гравийный (чистый) | 100–200 |
| Крупнообломочный с песчаным заполнителем | 100–150 |
| Песок: гравелистый крупный средней крупности мелкий пылеватый |
50–100 25–75 10–25 2–10 0,1–2 |
| Супесь | 0,1–0,7 |
| Суглинок | 0,005–0,4 |
| Глина | <0,005 |
| Торф: слаборазложившийся среднеразложившийся сильноразложившийся |
1–4 0,15–1 0,01–0,15 |
ЗНАЧЕНИЯ СТАТИСТИЧЕСКОГО КРИТЕРИЯ
| Число определений |
v | Число определений |
v | Число определений |
v | ||
| 6 | 2,07 | 13 | 2,56 | 20 | 2,78 | ||
| 7 | 2,18 | 14 | 2,60 | 25 | 2,88 | ||
| 8 | 2,27 | 15 | 2,64 | 30 | 2,96 | ||
| 9 | 2,35 | 16 | 2,67 | 35 | 3,02 | ||
| 10 | 2,41 | 17 | 2,70 | 40 | 3,07 | ||
| 11 | 2,47 | 18 | 2,73 | 45 | 3,12 | ||
| 12 | 2,52 | 19 | 2,75 | 50 | 3,16 |
ТАБЛИЦА 1.22. ЗНАЧЕНИЯ КОЭФФИЦИЕНТА tα ПРИ ОДНОСТОРОННЕЙ ДОВЕРИТЕЛЬНОЙ ВЕРОЯТНОСТИ α
| Число определений n−1 или n−2 |
tα при α | Число определений n−1 или n−2 |
tα при α | |||
| 0,85 | 0,95 | 0,85 | 0,95 | |||
| 2 | 1,34 | 2,92 | 13 | 1,08 | 1,77 | |
| 3 | 1,26 | 2,35 | 14 | 1,08 | 1,76 | |
| 4 | 1,19 | 2,13 | 15 | 1,07 | 1,75 | |
| 5 | 1,16 | 2,01 | 16 | 1,07 | 1,76 | |
| 6 | 1,13 | 1,94 | 17 | 1,07 | 1,74 | |
| 7 | 1,12 | 1,90 | 18 | 1,07 | 1,73 | |
| 8 | 1,11 | 1,86 | 19 | 1,07 | 1,73 | |
| 9 | 1,10 | 1,83 | 20 | 1,06 | 1,72 | |
| 10 | 1,10 | 1,81 | 30 | 1,05 | 1,70 | |
| 11 | 1,09 | 1,80 | 40 | 1,06 | 1,68 | |
| 12 | 1,08 | 1,78 | 60 | 1,05 | 1,67 | |
www.rusconstructor.ru
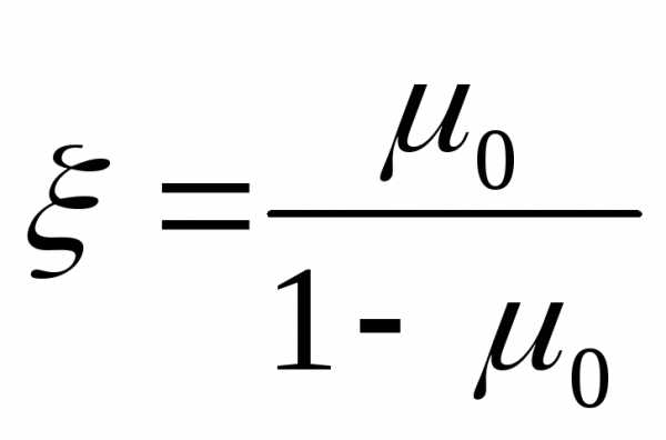
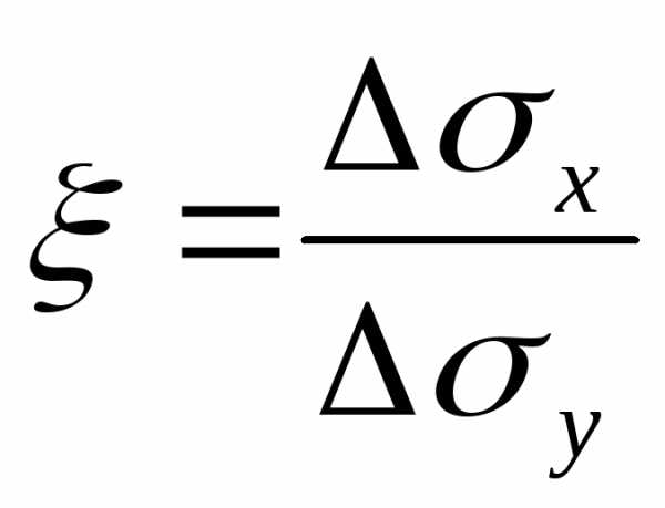
34.Что называется коэффициентом бокового давления грунта, от чего он зависит и как связан с коэффициентом Пуаасона?
Коэффициентом бокового давления грунта ξ называется отношение приращения бокового давления Δσx(илиΔσy) к приращению вертикального давления Δσz, при обязательном отсутствии боковых деформаций (εx= εy =0), то есть
;
εx= εy =0.
Боковое давление в этом случае является реактивным. Примером может служить грунт, обжимаемый в одометре (компрессионном приборе). Коэффициент бокового давления зависит от вида грунта, его плотности и влажности. С коэффициентом Пуассона он связан следующей зависимостью:

Он изменяется в пределах от 0 до 1.
35 Закон Дарси. Какова размерность коэффициента фильтрации? От чего он зависит? Что такое начальный градиент фильтрации?
Закон Дарси записывается так:

то есть, скорость фильтрации грунтовых вод прямо- пропорциональна градиенту напора I и некоторому коэффициенту характеризующему водопроницаемость грунта, т.е.коэффициенту фильтрации кф. Коэффициент фильтрации зависит от вида грунта, размера его пор (то есть от линейного размера пор, но не пористости), от температуры жидкости (меняется ее вязкость).
Начальный градиент фильтрации – величина градиента фильтрации в глинистых грунтах, при котором начинается практически ощутимая фильтрация. Закон Дарси с учётом начального градиента фильтрации выражается следующим образом:
при 
vф = 0 при I ≤ I0
36. Закон Кулона. Что называется углом внутреннего трения?
Под действием внешней нагрузки в отдельных точках (областях) грунта эффективные напряжения могут превзойти внутренние связи между частицами грунта, при этом возникнут скольжения (сдвиги), и прочность грунта может быть превзойдена.
Внутренним сопротивлением части в песках будет лишь трение, а в глинах (связных грунтах) плюс вязкие, водно-коллоидные связи. Разделить эти сопротивления не представляется возможным.
Закон Кулона (1773г.) имеет следующий вид :
а формулируется: предельное сопротивление грунтов сдвигу прямо пропорционально нормальному давлению.
φ –угол внутреннего трения – параметр линейного графика среза образца грунта;
tgφ–коэффициент внутреннего трения; c– удельное сцепление.
Результаты испытания глинистого грунта прямым срезом.
37. От чего зависит угол внутреннего трения песка? Что такое угол естественного откоса и совпадает ли он с углом внутреннего трения?
Угол внутреннего трения зависит от крупности и минералогического состава песка, от его пористости и в значительно меньшей степени от влажности (часто от влажности совсем не зависит). Угол внутреннего трения не совпадает по своей величине с углом естественного откоса, именуемого иногда углом “внешнего трения”. Угол естественного откоса влажного песка может быть больше угла внутреннего трения, так как в этом случае действуют капиллярные силы, удерживающие откос от разрушения.
38. Чем вызвано сопротивление срезу связного грунта (глинистого грунта)?
Сопротивление срезу связного глинистого грунта характеризуется междучастичными связями – пластичными водно-коллоидными и хрупкими цементационными связями.
studfiles.net
Анализ инженерно-геологических условий. Определение характеристик грунтов
1. Анализ инженерно -геологических условий
Определение характеристик грунтов
Грунт – Песок мелкий заиленный, темно-серый
1. Удельный вес сухого грунта
2. Коэффициент пористости
Согласно таблице плотности песчаных грунтов песок рыхлый.
Степень водонасыщенности
Согласно таблице водонасыщенности песок насыщен водой. По таблице условных сопротивлений определяем для этого грунта R0=0.15 МПа
Грунт – песок средней крупности, серый кварцевый.
1. Удельный вес сухого грунта
2. Коэффициент пористости
Согласно таблице плотности песчаных грунтов песок средней плотности.
3. Степень водонасыщенности
Согласно таблице водонасыщенности песок влажный. По таблице условных сопротивлений определяем для этого грунта R0=0.30 МПа.
Грунт – песок гравелистый
1. Удельный вес сухого грунта
2. Коэффициент пористости
Согласно таблице плотности песчаных грунтов песок средней плотности.
3. Степень водонасыщенности
Согласно таблице водонасыщенности песок маловлажный. По таблице условных сопротивлений определяем для этого грунта R0=0.35 МПа.
Грунт – глина голубовато-серая слоистая
1. Удельный вес сухого грунта
2. Коэффициент пористости
3. Число пластичности
4. Число текучести
Согласно таблицам консистенция глинистых грунтов, виды глинистых грунтов, условные сопротивления глинистых грунтов в основаниях делаем вывод что это глина , глина полутвердая , имеющая условное сопротивление сжатию R0=0,43 МПа.
В расчетах по предельным состояниям используют расчетные значения характеристик грунтов. Переход от нормативных значений Хn к расчетным Х осуществляется по формуле
Значения коэффициента надежности по грунту γg принимаются:
– в расчетах по несущей способности для удельного сцепления с – 1,4, для угла внутреннего трения φ и удельного веса грунта γ – 1,1;
– в расчетах по деформациям γg = 1,1 для “c”, γg = 1,05 для φ и γ;
– для модуля деформации Е – γg = 1,
Расчетные характеристики грунтов.
I первая группа предельных состояний | II первая группа предельных состояний | ||
Песок мелкий заиленный темносерый | Удельный вес γ, кН/м3 | 16,2 | 14,72727273 |
Модуль деформации Е, МПа | 6 | 6 | |
Удельное сцепление с, кПа | 5 | 3,571428571 | |
Угол внутреннего трения | 20 | 18,18181818 | |
φ, град | |||
Песок средней крупности серый кварцевый | Удельный вес γ, кН/м4 | 19,5 | 17,72727273 |
Модуль деформации Е, МПа | 32 | 32 | |
Удельное сцепление с, кПа | 0 | ||
Угол внутреннего трения | 36 | 32,72727273 | |
φ, град | |||
Песок гравенистый | Удельный вес γ, кН/м5 | 18,2 | 16,54545455 |
Модуль деформации Е, МПа | 30 | 30 | |
Удельное сцепление с, кПа | 0 | ||
Угол внутреннего трения | 38 | 34,54545455 | |
φ, град | |||
Глина голубовато-серая слоистая | Удельный вес γ, кН/м6 | 21 | 19,09090909 |
Модуль деформации Е, МПа | 45 | 45 | |
Удельное сцепление с, кПа | 42 | 30 | |
Угол внутреннего трения | 24 | 21,81818182 | |
φ, град |
vunivere.ru

Добавить комментарий